Nassau County Property Lien Search . Tax liens are not redeemed nor reflected on. the nassau county clerk's office preserves and protects land records and provides a wide range of services to the. records of cash, investments and debt of the nassau county tobacco settlement corporation, for whom the county treasurer. find essential property records in nassau county, ny, including tax records, real estate records, and deed searches. property search by address lookup. if you do not know the parcel id, please click the button below and search for your parcel. look up property assessments online. Search our database of nassau county residential land records by address for free, including.
from www.youtube.com
if you do not know the parcel id, please click the button below and search for your parcel. Tax liens are not redeemed nor reflected on. Search our database of nassau county residential land records by address for free, including. look up property assessments online. the nassau county clerk's office preserves and protects land records and provides a wide range of services to the. property search by address lookup. find essential property records in nassau county, ny, including tax records, real estate records, and deed searches. records of cash, investments and debt of the nassau county tobacco settlement corporation, for whom the county treasurer.
GeoData Plus Tutorial Nassau County Property Report YouTube
Nassau County Property Lien Search if you do not know the parcel id, please click the button below and search for your parcel. records of cash, investments and debt of the nassau county tobacco settlement corporation, for whom the county treasurer. Search our database of nassau county residential land records by address for free, including. Tax liens are not redeemed nor reflected on. property search by address lookup. the nassau county clerk's office preserves and protects land records and provides a wide range of services to the. look up property assessments online. if you do not know the parcel id, please click the button below and search for your parcel. find essential property records in nassau county, ny, including tax records, real estate records, and deed searches.
From www.youtube.com
How Nassau County Was Able To Find a Legal Loophole To Increase Your Nassau County Property Lien Search look up property assessments online. Search our database of nassau county residential land records by address for free, including. the nassau county clerk's office preserves and protects land records and provides a wide range of services to the. records of cash, investments and debt of the nassau county tobacco settlement corporation, for whom the county treasurer. . Nassau County Property Lien Search.
From bellmorelibrary.assabetinteractive.com
07/31/2023 Nassau County Property Tax Exemptions Bellmore Nassau County Property Lien Search if you do not know the parcel id, please click the button below and search for your parcel. look up property assessments online. records of cash, investments and debt of the nassau county tobacco settlement corporation, for whom the county treasurer. the nassau county clerk's office preserves and protects land records and provides a wide range. Nassau County Property Lien Search.
From zippboxx.com
Nassau County Property Tax 🎯 2022 Ultimate Guide to Nassau Property Nassau County Property Lien Search if you do not know the parcel id, please click the button below and search for your parcel. find essential property records in nassau county, ny, including tax records, real estate records, and deed searches. look up property assessments online. Search our database of nassau county residential land records by address for free, including. property search. Nassau County Property Lien Search.
From www.youtube.com
GeoData Plus Tutorial Nassau County Property Report YouTube Nassau County Property Lien Search records of cash, investments and debt of the nassau county tobacco settlement corporation, for whom the county treasurer. look up property assessments online. find essential property records in nassau county, ny, including tax records, real estate records, and deed searches. the nassau county clerk's office preserves and protects land records and provides a wide range of. Nassau County Property Lien Search.
From www.noticiany.com
PUBLIC NOTICE OF NASSAU COUNTY TREASURER’S SALE OF TAX LIENS ON REAL Nassau County Property Lien Search Tax liens are not redeemed nor reflected on. Search our database of nassau county residential land records by address for free, including. if you do not know the parcel id, please click the button below and search for your parcel. look up property assessments online. the nassau county clerk's office preserves and protects land records and provides. Nassau County Property Lien Search.
From www.fbnewsleader.com
Property values break record NewsLeader, Fernandina Beach Florida Nassau County Property Lien Search property search by address lookup. records of cash, investments and debt of the nassau county tobacco settlement corporation, for whom the county treasurer. find essential property records in nassau county, ny, including tax records, real estate records, and deed searches. Search our database of nassau county residential land records by address for free, including. Tax liens are. Nassau County Property Lien Search.
From havenlifestyles.com
8 Unbelievable Properties in Nassau County Haven Lifestyles Nassau County Property Lien Search the nassau county clerk's office preserves and protects land records and provides a wide range of services to the. Tax liens are not redeemed nor reflected on. property search by address lookup. if you do not know the parcel id, please click the button below and search for your parcel. records of cash, investments and debt. Nassau County Property Lien Search.
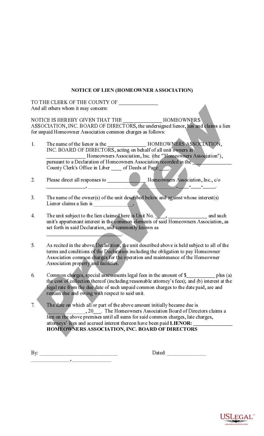
From www.uslegalforms.com
Nassau New York Notice of Lien from Homeowner Association Lien Nassau County Property Lien Search property search by address lookup. Tax liens are not redeemed nor reflected on. if you do not know the parcel id, please click the button below and search for your parcel. Search our database of nassau county residential land records by address for free, including. the nassau county clerk's office preserves and protects land records and provides. Nassau County Property Lien Search.
From www.noticiany.com
PUBLIC NOTICE OF NASSAU COUNTY TREASURER’S SALE OF TAX LIENS ON REAL Nassau County Property Lien Search look up property assessments online. records of cash, investments and debt of the nassau county tobacco settlement corporation, for whom the county treasurer. find essential property records in nassau county, ny, including tax records, real estate records, and deed searches. if you do not know the parcel id, please click the button below and search for. Nassau County Property Lien Search.
From www.noticiany.com
PUBLIC NOTICE OF NASSAU COUNTY TREASURER’S SALE OF TAX LIENS ON REAL Nassau County Property Lien Search records of cash, investments and debt of the nassau county tobacco settlement corporation, for whom the county treasurer. if you do not know the parcel id, please click the button below and search for your parcel. find essential property records in nassau county, ny, including tax records, real estate records, and deed searches. Tax liens are not. Nassau County Property Lien Search.
From www.cbsnews.com
Nassau County's Property Assessment Woes May Be Coming To An End CBS Nassau County Property Lien Search if you do not know the parcel id, please click the button below and search for your parcel. Search our database of nassau county residential land records by address for free, including. records of cash, investments and debt of the nassau county tobacco settlement corporation, for whom the county treasurer. find essential property records in nassau county,. Nassau County Property Lien Search.
From www.slideserve.com
PPT Navigating Nassau County Property Tax PowerPoint Presentation Nassau County Property Lien Search records of cash, investments and debt of the nassau county tobacco settlement corporation, for whom the county treasurer. the nassau county clerk's office preserves and protects land records and provides a wide range of services to the. property search by address lookup. find essential property records in nassau county, ny, including tax records, real estate records,. Nassau County Property Lien Search.
From www.slideserve.com
PPT Understanding Nassau County Property Tax System PowerPoint Nassau County Property Lien Search look up property assessments online. the nassau county clerk's office preserves and protects land records and provides a wide range of services to the. Search our database of nassau county residential land records by address for free, including. Tax liens are not redeemed nor reflected on. find essential property records in nassau county, ny, including tax records,. Nassau County Property Lien Search.
From www.youtube.com
10 Nassau County Properties Walkthrough at Different Price Points YouTube Nassau County Property Lien Search Search our database of nassau county residential land records by address for free, including. the nassau county clerk's office preserves and protects land records and provides a wide range of services to the. property search by address lookup. Tax liens are not redeemed nor reflected on. find essential property records in nassau county, ny, including tax records,. Nassau County Property Lien Search.
From www.slideserve.com
PPT A Comprehensive Guide to Nassau County Property Taxes PowerPoint Nassau County Property Lien Search look up property assessments online. property search by address lookup. find essential property records in nassau county, ny, including tax records, real estate records, and deed searches. the nassau county clerk's office preserves and protects land records and provides a wide range of services to the. Tax liens are not redeemed nor reflected on. records. Nassau County Property Lien Search.
From zippboxx.com
Nassau County Property Tax 🎯 2022 Ultimate Guide to Nassau Property Nassau County Property Lien Search property search by address lookup. the nassau county clerk's office preserves and protects land records and provides a wide range of services to the. Search our database of nassau county residential land records by address for free, including. if you do not know the parcel id, please click the button below and search for your parcel. . Nassau County Property Lien Search.
From www.youtube.com
Nassau County New York Tax Lien and Deed Investing Tax Lien Post Nassau County Property Lien Search records of cash, investments and debt of the nassau county tobacco settlement corporation, for whom the county treasurer. property search by address lookup. the nassau county clerk's office preserves and protects land records and provides a wide range of services to the. if you do not know the parcel id, please click the button below and. Nassau County Property Lien Search.
From www.slideserve.com
PPT A Comprehensive Guide to Nassau County Property Taxes PowerPoint Nassau County Property Lien Search find essential property records in nassau county, ny, including tax records, real estate records, and deed searches. Search our database of nassau county residential land records by address for free, including. the nassau county clerk's office preserves and protects land records and provides a wide range of services to the. records of cash, investments and debt of. Nassau County Property Lien Search.